Information Theory Note (Part 2 of 2)
Chapter 3 无损信息传输
-
回顾信息传输模型

-
信道的抽象数学模型

其中 $W$ 可视为原始信息编码后的结果,$x^n$ 进入信道,$y^n$ 是接收方从信道中获得的信号,$\hat{W}$ 是接收方对信道信号的解读,它同时是对 $W$ 的估计。
Lec 6 信道容量
信道容量定义为输出序列对不同输入序列所提供的最大互信息,即
\[C = \lim\limits_{n \to \infty} \frac{1}{n} \max\limits_{P(X^n)} \left[I(X_1X_2\cdots X_N;Y_1Y_2\cdots Y_N) \right]\]注意 $\max$ 这里枚举的是不同的输入概率分布。
6.1 DMC Intro
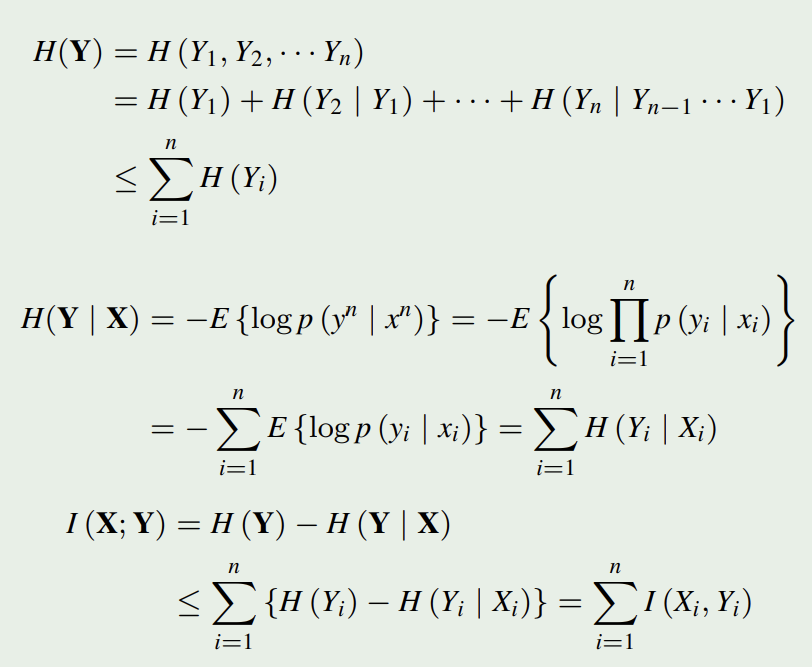
对于离散无记忆信道 (DMC, 定义见上),$I(X_1X_2\cdots X_N;Y_1Y_2\cdots Y_N) \le \sum_{n=1}^N I(X_n;Y_n)$
其中等号在输入为独立随机序列时达到。证明如下

(注意这些仅仅对 DMC 成立。特别地,当输入独立随机时,必有输出也独立随机,进而有 $H(Y)=\sum\limits_{i=1}^n H(Y_i)$ 的等号成立)
因此,当输入独立随机时,有
\[C = \lim\limits_{n \to \infty} \frac{1}{n} \max\limits_{P(x^n)} \left[I(X_1X_2\cdots X_N;Y_1Y_2\cdots Y_N) \right] = \max\limits_{P(X)} I(X;Y)\]这将大大简化接下来的讨论难度。
6.2 DMC Examples
-
无噪信道

-
无损信道

-
确定信道

-
无用信道

-
复制信道

-
二元对称信道 BSC

-
二元除删信道 BEC

6.3 信道的组合
-
平行信道(积信道)

-
开关信道(和信道)

证明似乎有些复杂。
-
级联信道

-
实例:两个对称信道的组合
假设有两个对称信道

-
积组合

-
和组合

-
级联组合

-
Lec 7 离散无记忆信道的容量定理
回顾之前所提及的,我们要求出某个信道的「容量」,即求 $C = \max\limits_{\{Q_k\}} I(X;Y)$。
这里 $\{Q_k\}$ 描述的是概率空间。约束条件是 $Q_k \ge 0, \ \sum\limits_{k=0}^{K-1} Q_k=1$。
7.1 凸优化
-
函数为凸的条件:Hessian 矩阵半正定
\[H(x)=\left(\begin{array}{cccc} \frac{\partial^2 f(x)}{\partial x_1{ }^2} & \frac{\partial^2 f(x)}{\partial x_1 \partial_2} & \cdots & \frac{\partial^2 f(x)}{\partial x_1 \partial x_K} \newline \frac{\partial^2 f(x)}{\partial x_2 \partial x_1} & \frac{\partial^2 f(x)}{\partial x_2{ }^2} & \cdots & \frac{\partial^2 f(x)}{\partial x_2 \partial x_K} \newline \vdots & \vdots & \ddots & \vdots \newline \frac{\partial^2 f(x)}{\partial x_K \partial x_1} & \frac{\partial^2 f(x)}{\partial x_K \partial x_2} & \cdots & \frac{\partial^2 f(x)}{\partial x_K{ }^2} \end{array}\right)\] -
KKT 条件:取得最值的通用必要条件
可以视作拉格朗日乘数法的拓展。拉格朗日乘数法解决的优化问题只有等号约束,而 KKT 条件加上了不等号约束。对于优化问题
Minimize $f(x)$
Subject to: $g_i(x) \leq 0, h_j(x)=0$
则取得最值的必要条件是
\[\begin{aligned} & \nabla f\left( x^* \right)+\sum_{i=1}^m \mu_i \nabla g_i\left( x^* \right)+\sum_{j=1}^l \lambda_j \nabla h_j\left( x^* \right)=0 \newline & h_j\left( x^* \right)=0, \text { for all } j=1, \ldots, l \newline & g_i\left( x^* \right) \leq 0, \text { for all } i=1, \ldots, m \newline & \mu_i \geq 0, \text { for all } i=1, \ldots, m \newline & \mu_i g_i\left( x^* \right)=0, \text { for all } i=1, \ldots, m \end{aligned}\]前两条是拉格朗日乘数法也有的,后三条由不等式约束产生。
-
概率空间情形的凸优化
可以根据 KKT 条件,也可以通过数学直觉推断出概率空间情形的凸优化解条件。
-
非负空间的最值
\(f'(x)=0, \forall x_k > 0\) \(f'(x)<0, \forall x_k = 0\)
-
概率空间的最值
\(f'(x)=\lambda, \forall x_k > 0\) \(f'(x)<\lambda, \forall x_k = 0\)
其中 $\lambda$ 是拉格朗日乘数,其值由约束 $h(x)=\sum\limits_k x_k = 1$ 产生。
-
7.2 离散无记忆信道的容量定理
定理:概率分布 $\{Q_0,Q_1,\cdots,Q_{K-1}\}$ 达到概率转移矩阵 $P$ 的离散无记忆信道容量 $C$ 的充要条件为(等价于):
\(I(X=k;Y)=C, \forall Q_k > 0\) \(I(X=k;Y)<C, \forall Q_k = 0\)
其中 $I(X=k;Y)$ 表示通过信道传送字符 $X = k$ 时,信道的输入与输出之间可获得的互信息的期望值。即
\[I(X=k ; Y)=\sum_{j=0}^{J-1} p(j \mid k) \left[I(y_j) - I(y_j \mid x_k) \right] = \sum_{j=0}^{J-1} p(j \mid k) \log \frac{p(j \mid k)}{p(j)}\]不难发现,$I(X;Y)=\sum\limits_k Q_k I(X=k ; Y)$。
回到原定理。我们其实是要在一个概率空间中找到 $I(X;Y)$ 的最值。考虑拉格朗日乘数法:
\[\begin{gathered} J\left(\left\\{Q_k\right\\}\right)=I(X ; Y)-\lambda\left(\sum_{k=0}^{K-1} Q_k\right)=\sum_{k=0}^{K-1} Q_k I(X=k ; Y)-\lambda\left(\sum_{k=0}^{K-1} Q_k - 1\right) \newline \newline \frac{\partial J\left(\left\\{Q_k\right\\}\right)}{\partial Q_k}\left\\{\begin{array}{l} =0, \forall Q_k>0 \newline <0, \forall Q_k=0 \end{array}\right. \end{gathered}\]对 $Q_k$ 求导,得(可以证明第二项的值为 $1$,详见课件)
\[\begin{gathered} \frac{\partial J\left(\left\\{Q_k\right\\}\right)}{\partial Q_k}=I(X=k ; Y)+\sum_{l=0}^{K-1} Q_l \frac{\partial I(X=l ; Y)}{\partial Q_k}-\lambda \newline =I(X=k ; Y)-\lambda + 1 \end{gathered}\]如果我们令 $C = \lambda - 1$,就可以得到定理内容:
\[\begin{gathered} I(X=k ; Y)=C, \forall Q_k>0 \newline I(X=k ; Y)<C, \forall Q_k=0 \end{gathered}\]-
定理的理解
取到离散无记忆信道的容量的充要条件是对于好的 $I(X = k; Y)$,其值均相等,对于不好的 $I(X = k; Y)$,其值均为 $0$。在这种条件下,就有
\[C = I(X;Y) = \sum\limits_k Q_k I(X=k ; Y)\]
7.3 SP Case - 对称离散无记忆信道
离散无记忆信道的转移概率矩阵可表示为
\[\mathbf{P}=\{p(j \mid k)\}=\left[\begin{array}{cccc} p(0 \mid 0) & p(1 \mid 0) & \cdots & p(J-1 \mid 0) \newline p(0 \mid 0) & p(1 \mid 1) & \cdots & p(J-1 \mid 1) \newline \vdots & \vdots & \ddots & \vdots \newline p(0 \mid K-1) & p(1 \mid K-1) & \cdots & p(J-1 \mid K-1) \end{array}\right]\]-
若 $P$ 中每一行都是第一行的一个置换,则该信道关于输入对称。
-
若 $P$ 中每一列都是第一列的一个置换,则该信道关于输出对称。
-
若一个信道既关于输入对称,又关于输出对称,则该信道是 对称的。
\[\begin{aligned} P & =\left(\begin{array}{llll} 0.2 & 0.1 & 0.4 & 0.3 \newline 0.3 & 0.1 & 0.4 & 0.2 \newline 0.2 & 0.4 & 0.1 & 0.3 \newline 0.3 & 0.4 & 0.1 & 0.2 \end{array}\right) \end{aligned}\] -
若一个信道可以按列划分,得到若干个子信道,若划分出的所有子信道均是对称的,则称该信道是准对称的。
\[\begin{aligned} \mathbf{P} & =\left(\begin{array}{lll} 0.8 & 0.1 & 0.1 \newline 0.1 & 0.1 & 0.8 \end{array}\right) \end{aligned}\]
可以证明,达到准对称离散无记忆信道容量的输入分布为均匀分布。基本思路是当 $Q_k = \frac{1}{K}$ 时可以推出 $I(X=k;Y)$ 都相等。
根据定义,若信道关于输入对称,则(其中 $k$ 任取):
\[I(X;Y)=H(Y) - H(Y|X) = H(Y) + \sum\limits_{j=0}^{J-1} p(j|k) \log p(j|k)\]通过上述结论,我们可以获得关于信道容量在特殊情形下的性质:
-
若信道关于输入对称,则(其中 $k$ 任取):
\[C \leq \log J + \sum\limits_{j=0}^{J-1} p(j|k) \log p(j|k)\] -
若信道同时关于输入和输出对称(即信道对称),则有 $H(Y) = \log J$,同时再根据上面均匀分布那个结论,于是(其中 $k$ 任取):
\[C = \log J + \sum\limits_{j=0}^{J-1} p(j|k) \log p(j|k)\]
-
Examples
-
K 元对称信道的容量:直接用上面第二个公式就可以算。

-
除删信道(BEC):由于 BEC 是准对称的,所以当输入等概时取到信道容量。

-
模 K 加法信道

-
7.4 General Case - 转移概率矩阵可逆信道
对称信道由于均匀分布的那个结论所以方便计算。考虑更一般的情况,给定矩阵 $P$,如何求出取到信道容量的 $\{Q_k\}$ 分布和信道容量 $C$?
如果 $P$ 可逆并且假设 $Q_k > 0$,这个问题是可解的:

由此线性方程解出 $\beta_j$。
注意到 $\sum\limits_{j=0}^{J-1} w_j = 1, w_j = 2^{\beta_j-C}$,所以 $C = \log (\sum\limits_{j=0}^{J-1} 2^{\beta_j})$。
再根据 $C$ 和 $\beta_j$,回过头来解 $w_j$ 以及 $Q_i$。
- 课件上有例子。
Lec 8 离散无记忆信道的编码定理
Lec 9 加性高斯噪声(AWGN)信道
Enjoy Reading This Article?
Here are some more articles you might like to read next: